14/03/2022
Het is 14 maart. De dag die bekend staat als pi-dag, omdat deze datum in Amerikaanse notitie 3.14 gelijk is aan de eerste cijfers van het getal pi. Iedereen kent het getal pi als het getal dat de relatie legt tussen de omtrek en diameter van een cirkel. Het onmeetbare getal, zoals het vaak wordt omschreven in kruiswoordraadsels, komt echter op veel meer plekken tevoorschijn. Want als pi verbonden is met cirkels, dan toch ook zeker met golfbewegingen, licht & geluid. Pi komt dus ook voor in een regenboog en muziek. Daarom in deze blog: plekken waar je pi tegenkomt die heel verrassend zijn, zoals bij willekeurige gebeurtenissen die (ogenschijnlijk) niets met een cirkel of golven te maken hebben. En, tot slot, toch nog even goed kijkend naar de relatie tussen omtrek en de diameter van een cirkel, want pi is misschien wel gelijk aan 4. Let’s find out!
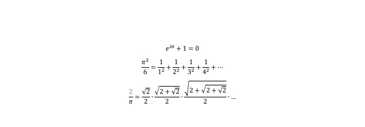
Pi: een voorbeeld dat ik niet kan laten
Voordat ik daar dieper op in ga, wil ik toch even ingaan op onderstaande fantastisch tot de verbeelding sprekende vergelijkingen waar pi, genoteerd met het symbool π, in voorkomt. Ja, sorry, op pi-dag mag deze blog een tikkeltje nerdyness bevatten... Heerlijk toch? Totaal geen idee waar ik het over heb? Neem contact met me op ;-)

Laat het vallen en het wordt pi
Oké, tijd voor een proef. Het volgende experiment heeft verrassend genoeg een relatie met pi. Stel ik leg op de vloer een groot vel papier met daarop evenwijdige lijnen die gelijke afstand tot elkaar hebben. Op dit vel papier laat ik naalden vallen die qua lengte overeenkomen met de afstand tussen de lijnen op het papier. Dan blijkt de kans dat een naald op 1 van de lijnen terechtkomt gelijk te zijn aan 2 gedeeld door pi, ongeveer 64% kans. In deze kans zit pi, wie had dat verwacht!
Zo kun je dus door voldoende naalden op het vel papier te gooien, en heel nauwkeurig te tellen, de waarde van het getal pi bepalen. Wat natuurlijk niet een erg efficiënte methode is maar wel opmerkelijk dat het zo kan.

Pi in een wandeling
Bij een willekeurige wandeling (random walk) laat je de looprichting bepalen door herhaaldelijke kanstrekking. Dit lijkt in eerste instantie een wandeling die alleen een wiskundige zou willen maken. Maar toch komt het in het echte leven voor omdat willekeurige wandelingen o.a. gedragingen in de biologie, economie en psychologie beschrijven.
De willekeurige wandeling die ik hier bedoel gaat als volgt. Gooi een eerlijke munt en bij kop doe je een stap naar voren, en bij munt doe je een stap naar achteren. En zo bepaal je stap voor stap of je naar voren of naar achteren gaat.

Het proces van deze wandeling is symmetrisch, de kans dat je naar voren of naar achteren stapt is gelijk. Daarom verwacht je uit te komen op je beginpositie. Hoe verder een punt van de beginpositie, hoe kleiner de kans dat je daar terecht komt.
Maar wat is nou de verwachte absolute afstand tot het beginpunt als je heel veel stappen (N) in de willekeurige wandeling hebt gezet? Dit vergt behoorlijk wat rekenwerk en daarom vertel ik maar direct wat het antwoord is:

Dit betekent dat je na 10.000 stappen in de wandeling je naar verwachting maar 80 stappen bent verwijderd van het begin. In deze verwachte afstand zit pi. Opnieuw: wie had dat verwacht?!
De pi = 4 paradox
Tot slot het volgende om je aan het denken te zetten. Teken een cirkel met diameter 1, deze heeft een omtrek van lengte pi, zoals iedereen op school heeft geleerd. Zet om de cirkel een vierkant. Deze heeft vier kanten van lengte 1 en daarmee een omtrek van lengte 4. Door de hoekpunten van dit vierkant naar binnen te vouwen komt het dichter bij de cirkel te liggen zonder dat de omtrek verandert, die blijft 4. Herhaaldelijk dit proces uitvoeren verandert de omtrek niet, maar komt het wel oneindig dicht bij de cirkel te liggen. Daarmee is de omtrek van de cirkel gelijk aan 4 en is pi gelijk aan 4. Toch?

Nog meer verrassende plekken?
Kortom: pi blijft een bijzonder getal met oneindig veel decimalen en toepassingen. Ik daag je uit om er eens anders naar te kijken, wellicht zie je pi dan in een regenboog, hoor je hem in muziek of kom je hem op een andere verrassende plek tegen. En mocht je er iets anders mee willen of samen met mij verrassende pi-plekken willen ontdekken, neem dan contact met mij op!
Wil je op de hoogte blijven van het laatste nieuws van CQM, volg ons op LinkedIn of meld je aan voor onze digitale nieuwsbrief.
Fotocredit: Pixabay en Pexels.
